الجزء 1
الجزء 2
الجزء 3
الجزء 4
لتحميل الجزء 1

1) العبارات الحرفية:

(لتكبير حجم الصور، اضغط عليها)

1.1. تبسيط حساب حرفي:

1.2. خواص:

1) العبارات الحرفية:
     قاعدة
     أمثلة
1.1. تبسيط حساب حرفي:
    قاعدة
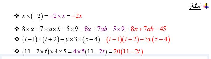
     أمثلة
   ملاحظة
     أمثلة
1.2. خواص:
    قاعدة
     أمثلة
    ملاحظة
 website created by: Latreche Mifa  
Website created with openElement
Website created with: openElement